摘要:介绍了蒸汽换热站装置中的仪表选型方法和选型原则。 根据换热站高温、高压工况并结合实际项目经验,重点对温度、流量、液位和阀门类仪表的选型进行了分析。 合理的选型可以提高仪表使用寿命 ,保证装置的稳定运行。
引言
在化纤、纺织项目中通常使用小型链条炉为热媒加热,但随着现有装置的链条炉使用时间增长,设备老化、故障率高、运行和维护成本不断上升的问题开始显现;同时各地环保部门对企业烟气污染物排放的监管更加严格,原来的炉型热效率低,煤耗高,烟气处理设备简单,排放指标不达标等弊端越来越凸显。 许多工厂因而拆除了原厂区的小型供热炉,改用集中供热锅炉(双介质流化床锅炉)代替。 将热源以蒸汽形式送往各厂区的新建换热站,用蒸汽加热热媒。 换热站装置属于高温、高压工况,对仪表选型要求较高,该文结合实际应用经验,重点介绍温度、流量、液位以及阀门等仪表的选型方法和选型原则。 图 1 所示为换热站气相热媒流程示意图;图 2所示为换热站液相热媒流程示意图。
1 温度计选型
在温度测量中,应重点注意蒸汽和凝液管道的温度计选型。 管道内的介质压力高,温度为 350 ~600 ℃,工艺设置远传温度仪表仅用于集中指示,不参与 PID 控制,所以对温度的测量精度要求并不高。另外在化纤、纺织主装置中并没有使用热电偶,相应的控制系统中没有设置热电偶(TC)卡件。 结合以上 2 点,设计时参考标准 IEC 60751—2008《工业铂电阻标准》,优先选择铂热电阻。
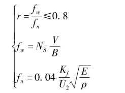
依照标准 HG/ T 21581—2012《自控安装图册》中 HK01 -42 带高压套管的温度计在管道上安装的设计图,选用焊接式高压温度计套管,装配安装铠装铂热电阻,套管一般使用 12CrMov 材料制作,以保障热电阻的使用寿命。 温度计套管的长度需要根据管道大小确定。 因为管道内介质流速较快,套管的插入深度需要经过套管振动计算后确定。 套管的插入的深度,会影响测量的精确度和使用寿命。 根据ASME 规范,当尾流振动频率(f w )接近温度计套管本身的固有频率(f n )时,会发生共振,从而增加套管断裂风险。 当(f w / f n )≤0. 8 时可避免共振发生。 根据 ASME TC19. 3 的要求,即:

式中:r 为比率;v 为介质流速,m/ s;B 为温度计套管插入管道内的端部直径,m;N s 为斯德努哈尔数,简单计算可取 0. 22;K f 为常数;U 为温度计套管插入深度,m;E 为温度计套管材料在使用温度下的弹性模量,kPa;ρ 为温度计套管材料的密度,kg/ m 3 。根据共振机理公式,要想满足 r≤0. 8,就要尽量减小 f w ,增大 f n 。 f w 计算公式中,v 和 N s 可视为常数,f w 与 B 成反比。 而影响 f n 的因素有套管材质和套管插入管道深度。 所以为避免共振的发生可以采取以下措施:缩短温度计套管插入管道的长度,插入深度宜位于管道直径的 1/3 处,并且应至少插入管道内 50 mm;加粗温度计套管插入管道内的端部直径;更换套管材质。
2 流量计选型
在换热站工艺流程中,需要计量总管蒸汽与每台换热器入口的热媒流量。 当前普遍的测量蒸汽和热媒流量的方式包括
涡街流量计和差压式流量计。涡街流量计应用流体振荡原理来测量流量,特点是测量精度高、量程比宽、压损低、安装方便以及投产后维护量小;测量口径通常在 DN300 内,直管段要求较高,使用时应避免机械振动。
差压流量计是充满管道的流体经管道内节流元件时,在节流元件附近造成局部收缩,在其上、下游两侧产生静压力差,通过测量压力差来计算流体流量;特点是应用历史悠久,标准化程度高,价格低廉,应用范围广泛,可以根据不同工况选择不同类型的节流元件以满足测量要求;不足之处是压损大,安装要求较高,维护量大,测量范围窄。
标准涡街流量计工作温度为 - 29 ~ + 260 ℃,其不能满足换热站的要求;差压式流量计更加适用于换热站的流量测量。 对于换热站中蒸汽的测量,优先选择差压式流量计中的喷嘴流量计。 一般节流元件若长期处于高温、高压和高流速的流体冲击,节流元件会发生变形,开孔比会发生变化,随之精度发生变化。 而喷嘴流量计的节流件本身无锐角,是一个喇叭口的结构形式,有自导流的作用,压损相对较小,节流件不易发生变形,可保持长时间高精度。 为保证喷嘴流量计的测量精度,防止差压节流元件与差压变送器之间引压管线产生泄漏、堵塞及冻结等故障,引压管应采取保温伴热措施。 同时,为防止生产过程中产生的蒸汽温度和压力波动较大,偏离流量设计值,应充分考虑温度、压力补偿。
对于热媒的测量因管道口径较大且空间有限,则优先选择多孔平衡流量计。 平衡流量计具有对称多孔结构特点,多孔分散受力,流体形态好,平衡了测量流场,降低了涡流、振动和信号噪声,大幅提高流场稳定性。 因流场平衡,调整稳定,也大大缩短了对直管段的要求。
3、液位计选型
在早期凝液液位测量中单室平衡容器液位计得到广泛应用,通过测量设备正负压侧的压差来计算液位。 但由于设备内的蒸汽凝液和平衡容器内的冷凝水温度不同(即密度不同),正负压侧引压管内的介质度不同,从而引起计算误差。 经过改良后出现了双室平衡容器液位计,如图 3 所示。
负压侧的引压管置于平衡容器内,下部与设备内的凝液相连通。 正负压测的引压管内凝液温度比较接近,从而减少了单室平衡容器液位计因正负压引压管内凝液密度不同而引起的测量误差。 但在应用上仍然存在以下不足:无法全工况工作,因工况发生变化导致凝液温度和压力变化(即密度变化)的情况下无法实现液位自动校正;由于平衡容器的向外散热,容器内凝水温度由上至下逐步降低,且温度分布不易确定,因此密度很难确定;引压管线需要考虑保温伴热。
智能电容液位计近年来在蒸汽凝液的液位测量中应用越来越多。 如图 4 所示,智能电容液位计是由测量探极与测量筒构成电容器,利用液位变化与测量探极产生的电容值变化之间关系,通过软件将检测的电容值变化经过补偿计算后,输出与物位变化成正比的两线制 4 ~20 mA 信号。 根据全空间感应式 C = kS(H) / d 得到:修正测量区的空值:

由式(1) ~ 式(3)可以看到,电容值 C 只与介电常数 k、探极正对面积 S(H) 和极间距 d 相关。正对面 积 S 和 标 高 H 成 正 比。 其 中 H 汽 , H 水 ,H 测量标高 ,d 汽 ,d 水 和 d 测 均为物理制作的定值,变量k 测 可以根据式(1)、式(2)中计算得出的 k 汽 和 k 水进行线性关系计算后得出。 因此,设备的液位测量值 h 测 仅和介电常数有关,不受介质温度和压力影响。 设计中可以结合项目实际情况,参考表 2来进行
液位计选型。
4 阀门选型
换热站热媒侧的阀门可以选择常规波纹管柱塞阀。 蒸汽侧由于高温、高压,因而对金属材质及阀门形式的选择都有严格要求。
4. 1 高温高压阀门材质
在换热站只有一级换热的情况下,蒸汽温度不会高于 427 ℃,工艺管道材质通常选用 20G,阀门的阀体材质非常低档可以选择 WCB。 在有二级及以上换热的情况下,蒸汽温度会高于427 ℃,工艺管道材质通常选用合金钢15Cr1Mo 和12Cr1MoVG 等,阀门的阀体材质可以结合阀门的生产周期及费用,根据阀体材质的使用温度和压力范围选择 WC6,WC9 合金钢或 CF8,CF8M 不锈钢(见表 3)。
4. 2 高温高压阀门选型
换热站高温高压的开关阀主要用于换热器蒸汽管道的入口及出口,平时处于全开状态,而一旦出现异常需紧急关断开关阀,以保障人身安全和高压设备安全。 阀芯组件平行双闸板阀由楔形块、左右涨块和左右密封盘等构成,如图 5 所示。
楔形块、左右涨块和左右密封盘等机件之间采用大间隙活动连接结构,能自行定位、自行脱开及自行调整,不会因温度变化而影响阀门的密封和动作。 而且平行滑动结构利用流体压差自密封,介质压力越大密封越好。 因克服了外加机械密封时产生的内应力,所以要求执行机构的输出力较小,阀门可以更快速地完成开关,避免了常规闸阀易出现的卡阻的现象。 选用平行双闸阀很好地满足了换热站的工况要求,做到阀门关断时间短,防泄漏等级高,可靠性高。
5 结语
越来越多的企业选择采用集中供热方式,不仅有利于烟气污染物排放的处理,也为日后实施二氧化碳的捕集做好铺垫。 面对庞大的换热站建设需
求,只有深入了解换热站工艺技术特点,才能保证仪表选型的合理,从而提高设备寿命,保证装置稳定运行,为国家 2030 年前实现碳达峰、2060 年前实现碳中和做出贡献。
注明,淮安三畅仪表文章均为原创,转载请注明本文地址http://www.sanchang168.com/